Energia potencial elétrica
Vamos inicialmente fazer algumas analogias. Quando você ergue um livro para colocá-lo numa estante, a energia que você despende não é perdida. Ela fica armazenada no livro e, como advém de uma posição dentro do campo gravitacional, recebe o nome de energia potencial gravitacional (Ep).
Em relação a um referencial no solo a energia potencial gravitacional é dada
por: Ep = m.g.h, sendo m a massa do livro, g a aceleração da gravidade e h a altura do livro em relação ao solo.
Da mesma maneira, quando você comprime ou distende uma mola, diminuindo ou aumentando seu comprimento, ela armazena energia potencial elástica (Ep), dada por Ep = K.x2/2, onde K é a constante elástica e x a deformação da mola. O referencial para o cálculo da energia potencial Ep é a mola não deformada.
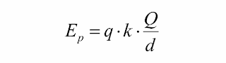
Considere, agora, o campo elétrico gerado por uma carga elétrica puntiforme Q, por exemplo positiva, fixa num ponto O. Seja P um ponto do campo. Um operador desloca uma carga elétrica puntiforme q, também positiva de um ponto bem afastado de O até o ponto P.
A energia despendida pelo operador (veja que Q > 0 repele q > 0) não é perdida. Fica armazenada na carga q e recebe o nome de energia potencial elétrica. A energia potencial elétrica Ep que q adquire ao ser colocada em P, situado a uma distância d de O, em relação a um referencial muito distante da carga Q (dizemos, referencial no infinito) é dada por:
Onde k a constante eletrostática do meio. Se o meio for o vácuo a constante eletrostática é indicada por k0.
Da fórmula anterior podemos escrever
A grandeza:
é indicada por Vp e recebe o nome de potencial elétrico no ponto P do campo da carga elétrica puntiforme Q fixa. Vamos conhecê-la melhor.
Em primeiro lugar observe que o potencial elétrico é uma grandeza escalar, que depende do meio onde a carga elétrica Q se encontra, expresso pelo valor de k. Depende do valor da carga Q que gera o campo e varia de ponto para ponto: mudando-se o valor de d, muda o valor do potencial. Assim temos:
De Vp = Ep/q, concluímos que a unidade de potencial elétrico no SI é joule/coulomb (J/C) que recebe o nome de volt (V).
Potencial elétrico no campo de várias cargas elétricas puntiformes
Trabalho da força elétrica no deslocamento de uma carga elétrica q do ponto A ao ponto B de um campo elétrico
τAB = EPA - EPB = q.(VA - VB) => τAB = q.(VA - VB)
VA - VB = U é a ddp (diferença de potencial ou tensão elétrica entre os pontos A e B).
O trabalho da força elétrica não depende da trajetória. A força elétrica é conservativa.
Propriedades do potencial elétrico
Uma carga elétrica q>0 é abandonada em repouso em um ponto A de um campo eletrostático, gerado por uma carga elétrica puntiforme Q>0, fixa num ponto O.
Sob ação da força eletrostática a partícula se desloca espontaneamente de A até B. Neste deslocamento a força eletrostática realiza um trabalho positivo (força e deslocamento têm o mesmo sentido, conforme mostra a figura 1. Observe que o potencial elétrico em A é maior do que em B (VA > VB).
Se a carga elétrica q fosse negativa ela se deslocaria espontaneamente de A para C e também, neste caso, a força eletrostática teria o sentido do deslocamento e realizaria um trabalho positivo (figura 2).
Observe que o potencial elétrico em A é menor do que em C (VA < VC).
Do exposto acima para o campo gerado por uma carga elétrica puntiforme, podemos generalizar e tirar as seguintes propriedades:
1. Cargas elétricas positivas abandonadas em repouso num campo eletrostático e sujeitas apenas à força eletrostática, deslocam-se, espontaneamente, para pontos de menor potencial.
2. Cargas elétricas negativas abandonadas em repouso num campo eletrostático e sujeitas apenas à força eletrostática, deslocam-se, espontaneamente, para pontos de maior potencial.
3. Percorrendo-se uma linha de força no seu sentido o potencial elétrico ao longo de seu pontos diminui.
EXERCÍCIOS:
1) Vamos supor que temos uma partícula carregada com carga q = 4 μC e que ela seja colocada em um ponto A de um campo elétrico cujo potencial elétrico seja igual a 60 V. Se essa partícula ir, espontaneamente, para um ponto B, cujo potencial elétrico seja 20 V, qual será o valor da energia potencial dessa carga quando ela estiver no ponto A e posteriormente no ponto B?
2) Determine a energia potencial elétrica de uma carga elétrica colocada em um ponto P cujo potencial elétrico é 2 x 104 V. Seja a carga igual a -6 μC.
3) Uma partícula eletrizada com carga q = -2 µC é transportada por um operador de um ponto A, cujo potencial é VA = 3.103 V, até um ponto B cujo potencial é VB = 1.103 V. A partícula parte com velocidade nula do ponto A e chega ao ponto B com velocidade também nula.
Qual é o trabalho da força elétrica que age na partícula no deslocamento de A até B?










Nenhum comentário:
Postar um comentário